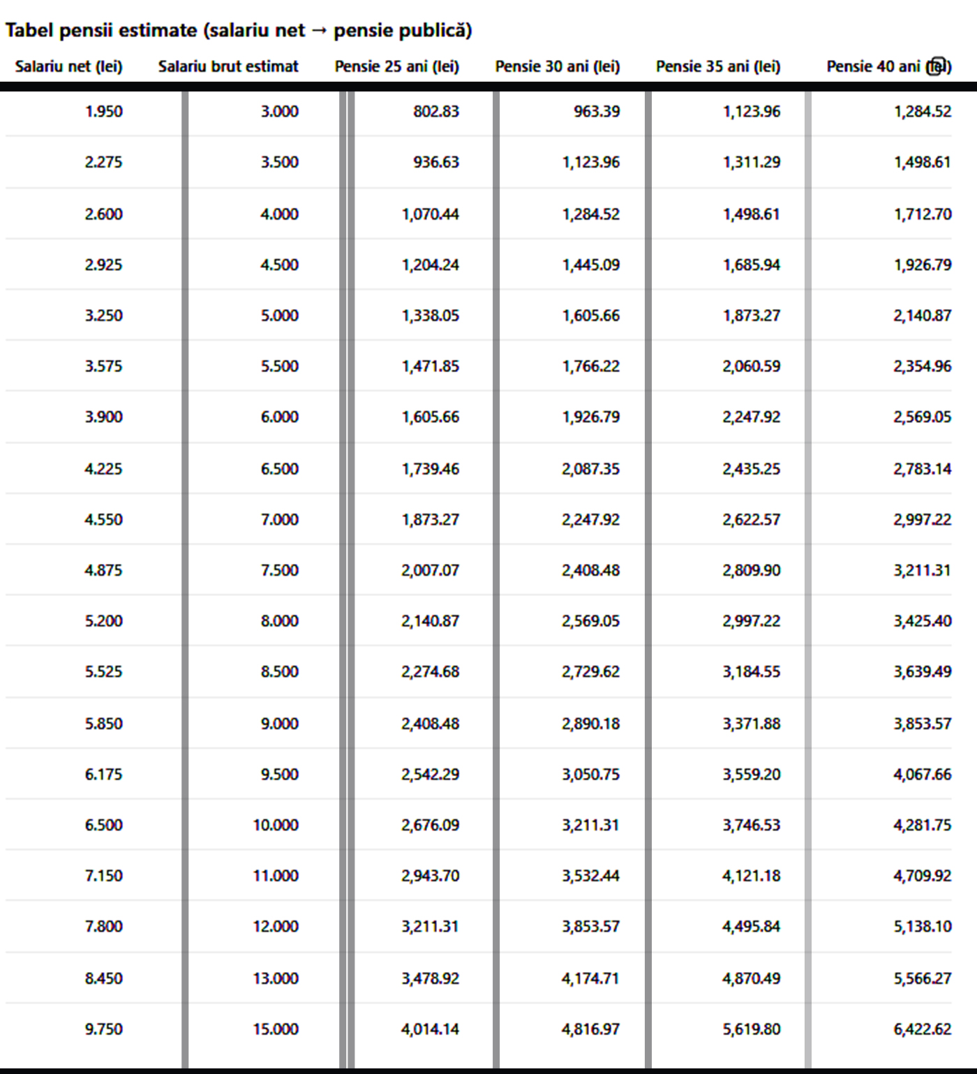
Aproape orice român angajat în câmpul muncii vrea să știe cât va încasa la pensie, la momentul respectiv. Un calcul simplu, realizat pe baza salariului net actual și a numărului de ani lucrați cu contract de muncă, arată sumele pe care fiecare angajat le-ar putea primi de la stat la retragerea din activitate.
Astfel, mai jos am pregătit un tabel estimativ care arată în detaliu ce pensie se cuvine, la momentul actual, unui salariu net din prezent.
Sursa: https://www.gandul.ro/actualitate/tabelul-pensiilor-in-romania-cati-bani-vei-primi-la-pensie-cu-exactitate-in-functie-de-actualul-tau-salariu-20645306
Declinarea răspunderii !!!
SP1.RO este un agregator automat de știri din România. În fiecare articol, preluat de SP1.RO cu maxim 1000 de caractere din articolul original, este specificat numele sursei și hyperlink-ul către sursă.
Preluarea informațiilor urmăreste promovarea și facilitarea accesului la informație, cu respectarea drepturilor de proprietate intelectuală, conform cu termenii și condițiile sursei (caleaeuropeana.ro).
Dacă sunteți proprietarul conținutului și nu doriți să vă publicăm materialele, vă rugăm să ne contactați prin e-mail la [email protected] și conținutul va fi șters în cel mai scurt timp posibil.

acum 1 luna
28






















English (US) ·
Romanian (RO) ·